Официальное опубликование правовых актов
ОФИЦИАЛЬНОЕ ОПУБЛИКОВАНИЕ
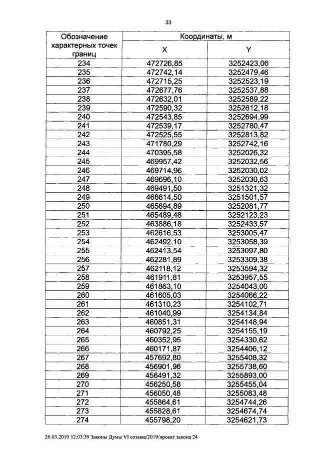
Закон Курганской области от 28.03.2019 № 34
"Об установлении границ муниципального образования Варгашинского района Курганской области"
Номер опубликования: 4500201904020006
Дата опубликования: 02.04.2019
Страница №33 из 54:
Увеличить