Официальное опубликование правовых актов
ОФИЦИАЛЬНОЕ ОПУБЛИКОВАНИЕ
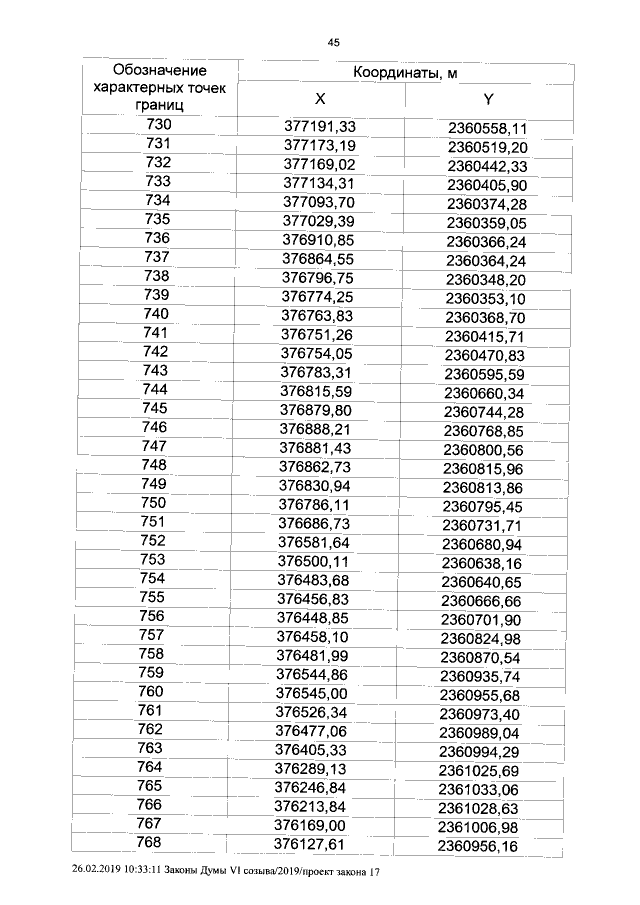
Закон Курганской области от 01.03.2019 № 14
"Об установлении границ муниципального образования Куртамышского района Курганской области"
Номер опубликования: 4500201903050010
Дата опубликования: 05.03.2019
Страница №45 из 85:
Увеличить