Официальное опубликование правовых актов
ОФИЦИАЛЬНОЕ ОПУБЛИКОВАНИЕ
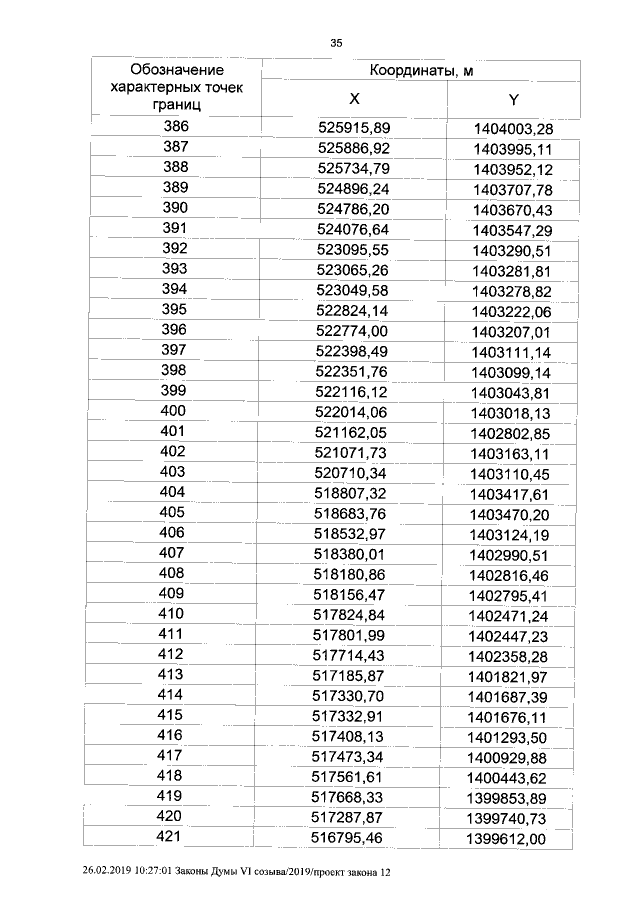
Закон Курганской области от 01.03.2019 № 12
"Об установлении границ муниципального образования Катайского района Курганской области"
Номер опубликования: 4500201903050007
Дата опубликования: 05.03.2019
Страница №35 из 53:
Увеличить