Официальное опубликование правовых актов
ОФИЦИАЛЬНОЕ ОПУБЛИКОВАНИЕ
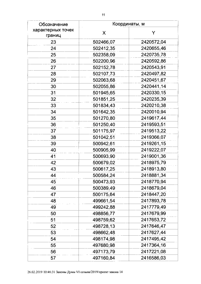
Закон Курганской области от 01.03.2019 № 17
"Об установлении границ муниципального образования Новодостоваловского сельсовета Белозерского района Курганской области"
Номер опубликования: 4500201903050004
Дата опубликования: 05.03.2019
Страница №11 из 19:
Увеличить