Официальное опубликование правовых актов
ОФИЦИАЛЬНОЕ ОПУБЛИКОВАНИЕ
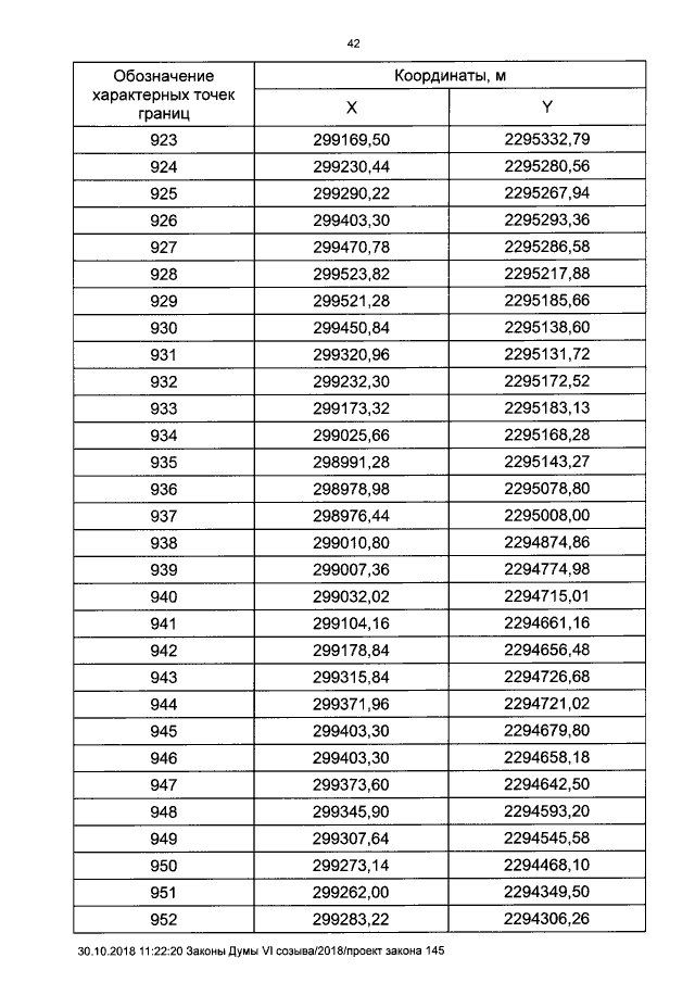
Закон Курганской области от 31.10.2018 № 147
"Об установлении границ муниципального образования Целинного района Курганской области"
Номер опубликования: 4500201811060006
Дата опубликования: 06.11.2018
Страница №42 из 73:
Увеличить