Официальное опубликование правовых актов
ОФИЦИАЛЬНОЕ ОПУБЛИКОВАНИЕ
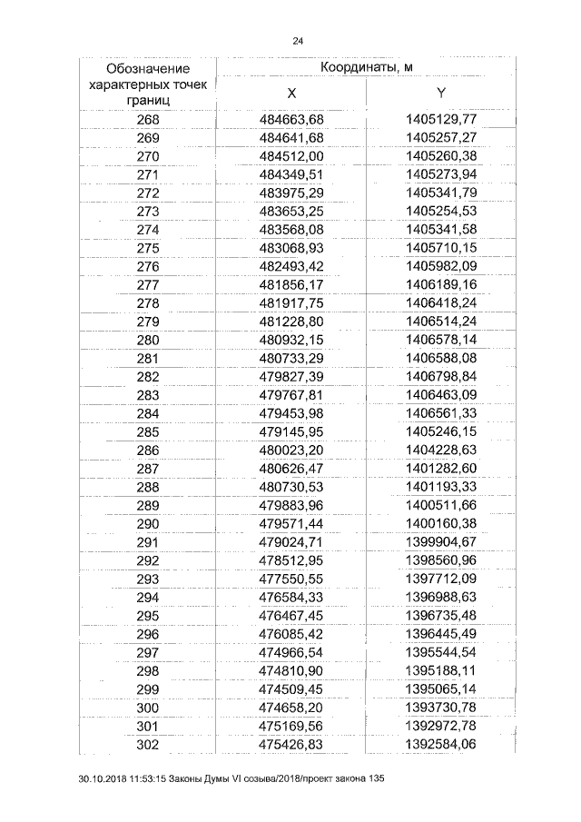
Закон Курганской области от 31.10.2018 № 139
"Об установлении границ муниципального образования Верхнетеченского сельсовета Катайского района Курганской области"
Номер опубликования: 4500201811020002
Дата опубликования: 02.11.2018
Страница №24 из 26:
Увеличить