Официальное опубликование правовых актов
ОФИЦИАЛЬНОЕ ОПУБЛИКОВАНИЕ
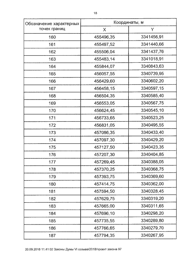
Закон Курганской области от 20.09.2018 № 102
"Об установлении границ муниципального образования Частоозерского сельсовета Частоозерского района Курганской области"
Номер опубликования: 4500201809250012
Дата опубликования: 25.09.2018
Страница №18 из 20:
Увеличить