Официальное опубликование правовых актов
ОФИЦИАЛЬНОЕ ОПУБЛИКОВАНИЕ
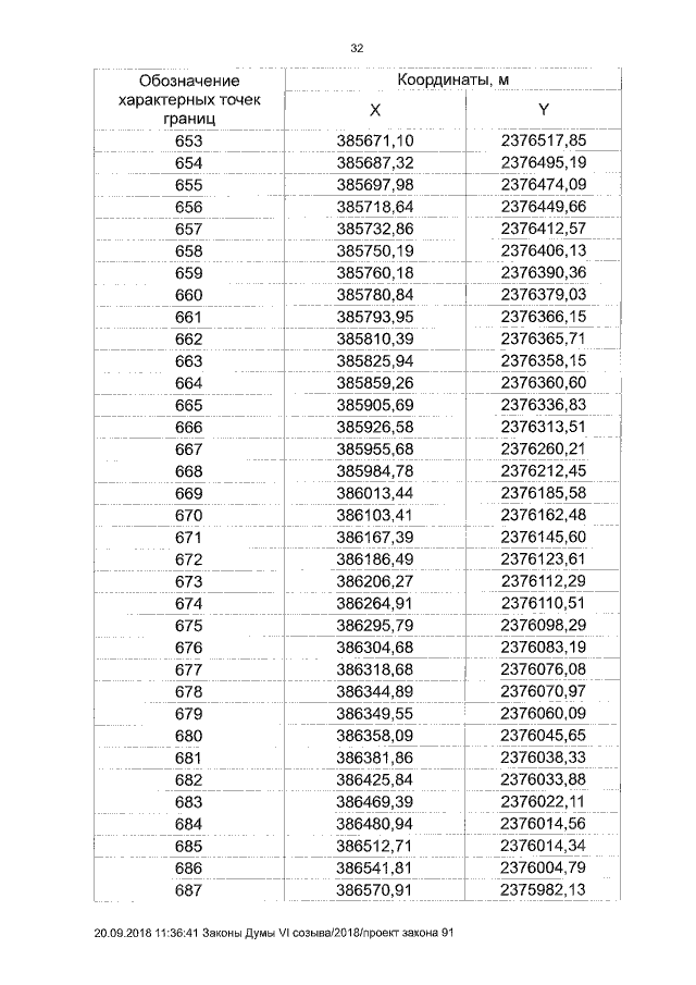
Закон Курганской области от 20.09.2018 № 96
"Об установлении границ муниципального образования Раскатихинского сельсовета Притобольного района Курганской области"
Номер опубликования: 4500201809250001
Дата опубликования: 25.09.2018
Страница №32 из 39:
Увеличить