Официальное опубликование правовых актов
ОФИЦИАЛЬНОЕ ОПУБЛИКОВАНИЕ
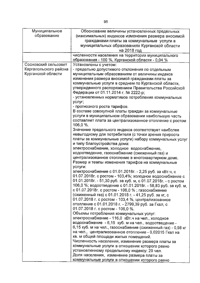
Указ Губернатора Курганской области от 15.12.2017 № 306
"О внесении изменения в указ Губернатора Курганской области от 21 мая 2014 года № 188 "Об утверждении предельных (максимальных) индексов изменения размера вносимой гражданами платы за коммунальные услуги в муниципальных образованиях Курганской области"
Номер опубликования: 4500201712180009
Дата опубликования: 18.12.2017
Страница №95 из 395:
Увеличить