Официальное опубликование правовых актов
ОФИЦИАЛЬНОЕ ОПУБЛИКОВАНИЕ
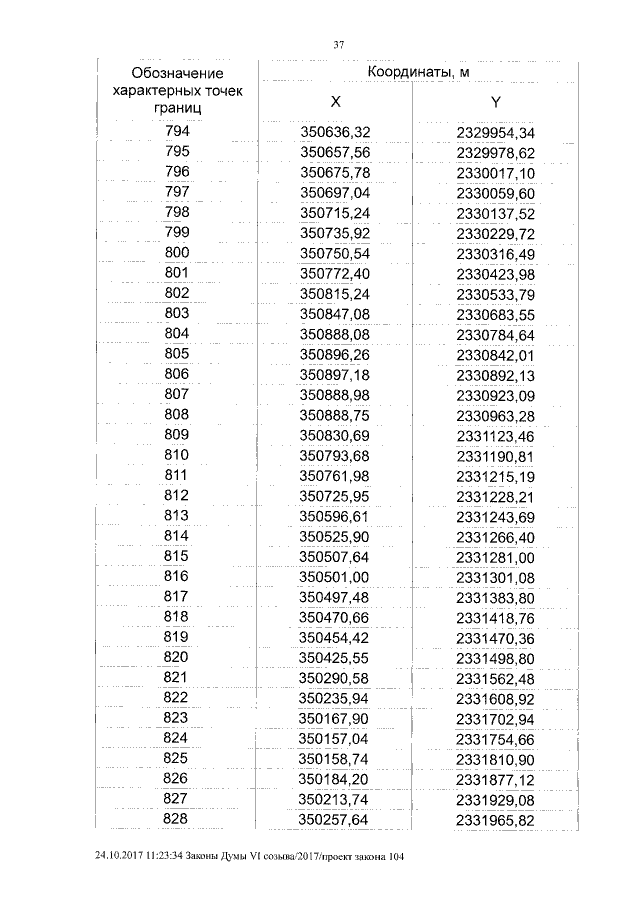
Закон Курганской области от 25.10.2017 № 96
"Об установлении границ муниципального образования Советского сельсовета Куртамышского района Курганской области"
Номер опубликования: 4500201710270011
Дата опубликования: 27.10.2017
Страница №37 из 43:
Увеличить