Официальное опубликование правовых актов
ОФИЦИАЛЬНОЕ ОПУБЛИКОВАНИЕ
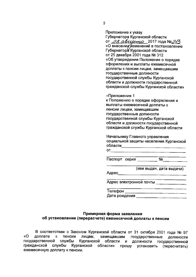
Указ Губернатора Курганской области от 28.08.2017 № 213
"О внесении изменений в постановление Губернатора Курганской области от 25 декабря 2001 года № 312 "Об утверждении Положения о порядке оформления и выплаты ежемесячной доплаты к пенсии лицам, замещавшим государственные должности государственной службы Курганской области и должности государственной гражданской службы Курганской области"
Номер опубликования: 4500201708300003
Дата опубликования: 30.08.2017
Страница №3 из 5:
Увеличить