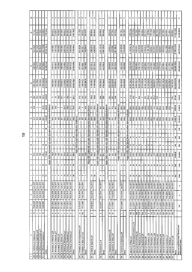
Постановление Правительства Курганской области от 08.02.2017 № 27
"О внесении изменения в постановление Правительства Курганской области от 10 июня 2013 года № 257 "Об утверждении Региональной адресной программы по переселению граждан из аварийного жилищного фонда в Курганской области на 2013-2017 годы"
"О внесении изменения в постановление Правительства Курганской области от 10 июня 2013 года № 257 "Об утверждении Региональной адресной программы по переселению граждан из аварийного жилищного фонда в Курганской области на 2013-2017 годы"
Номер опубликования: 4500201702090002
Дата опубликования:
09.02.2017
