Официальное опубликование правовых актов
ОФИЦИАЛЬНОЕ ОПУБЛИКОВАНИЕ
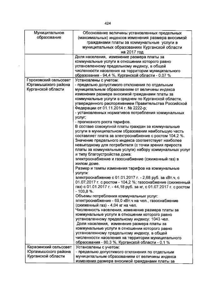
Указ Губернатора Курганской области от 19.12.2016 № 360
"О внесении изменений в указ Губернатора Курганской области от 21 мая 2014 года № 188 "Об утверждении предельных (максимальных) индексов изменения размера вносимой гражданами платы за коммунальные услуги в муниципальных образованиях Курганской области"
Номер опубликования: 4500201612200001
Дата опубликования: 20.12.2016
Страница №424 из 434:
Увеличить