Официальное опубликование правовых актов
ОФИЦИАЛЬНОЕ ОПУБЛИКОВАНИЕ
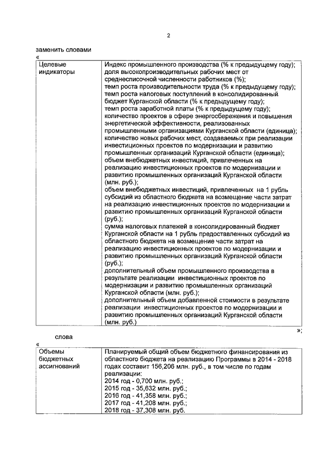
Постановление Правительства Курганской области от 26.09.2016 № 318
"О внесении изменений в постановление Правительства Курганской области от 14 октября 2013 года № 493 "О государственной программе Курганской области "Развитие промышленности и повышение ее конкурентоспособности на 2014-2018 годы"
Номер опубликования: 4500201609280006
Дата опубликования: 28.09.2016
Страница №2 из 19:
Увеличить