Официальное опубликование правовых актов
ОФИЦИАЛЬНОЕ ОПУБЛИКОВАНИЕ
Постановление Правительства Курганской области от 25.04.2016 № 110
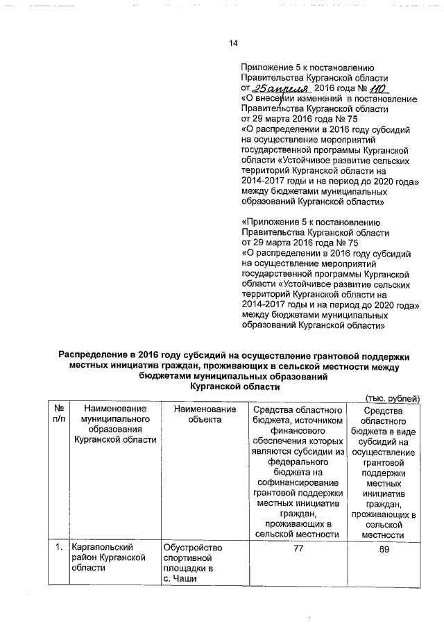
"О внесении изменений в постановление Правительства Курганской области от 29 марта 2016 года №75 "О распределении в 2016 году субсидий на осуществление мероприятий государственной программы Курганской области "Устойчивое развитие сельских территорий Курганской области на 2014-2017 годы и на период до 2020 года" между бюджетами муниципальных образований Курганской области"
Номер опубликования: 4500201604280010
Дата опубликования: 28.04.2016
Страница №14 из 17:
Увеличить