Официальное опубликование правовых актов
ОФИЦИАЛЬНОЕ ОПУБЛИКОВАНИЕ
Постановление Правительства Курганской области от 14.07.2015 № 230
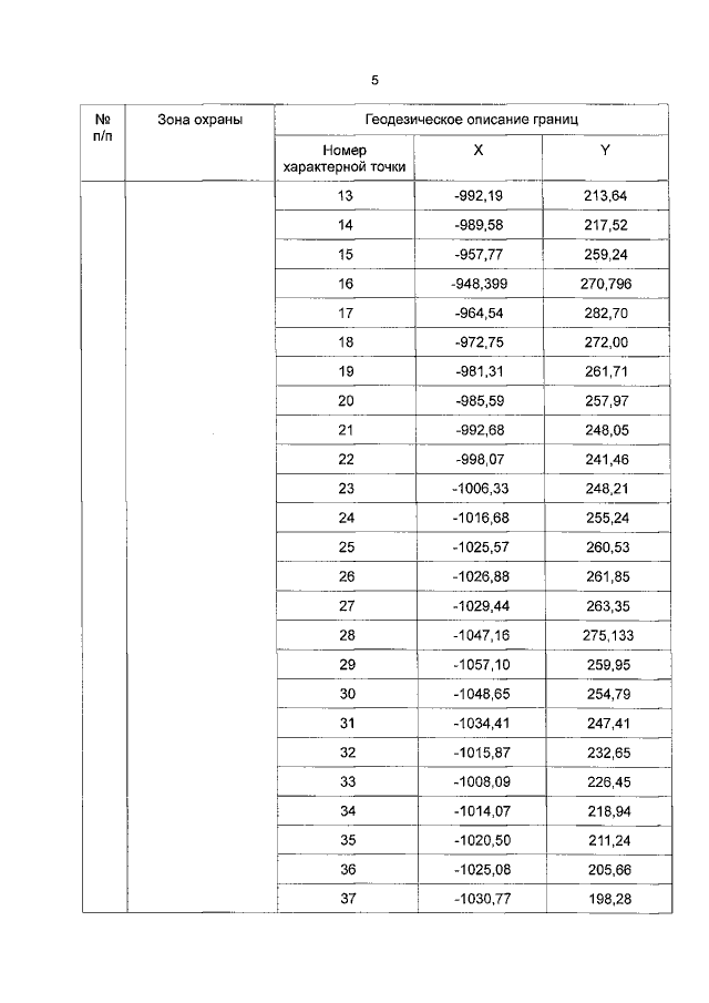
"Об утверждении границ зон охраны, режимов использования земель и градостроительных регламентов в границах зон охраны объекта культурного наследия регионального значения "Традиционная купеческая усадьба с хозяйственно-ремесленными постройками", находящегося по адресу: Курганская область, г. Курган, ул. Климова, 40, 40а"
Номер опубликования: 4500201507170022
Дата опубликования: 17.07.2015
Страница №5 из 21:
Увеличить