Официальное опубликование правовых актов
ОФИЦИАЛЬНОЕ ОПУБЛИКОВАНИЕ
Приказ Департамента здравоохранения Костромской области от 19.12.2025 № 1613
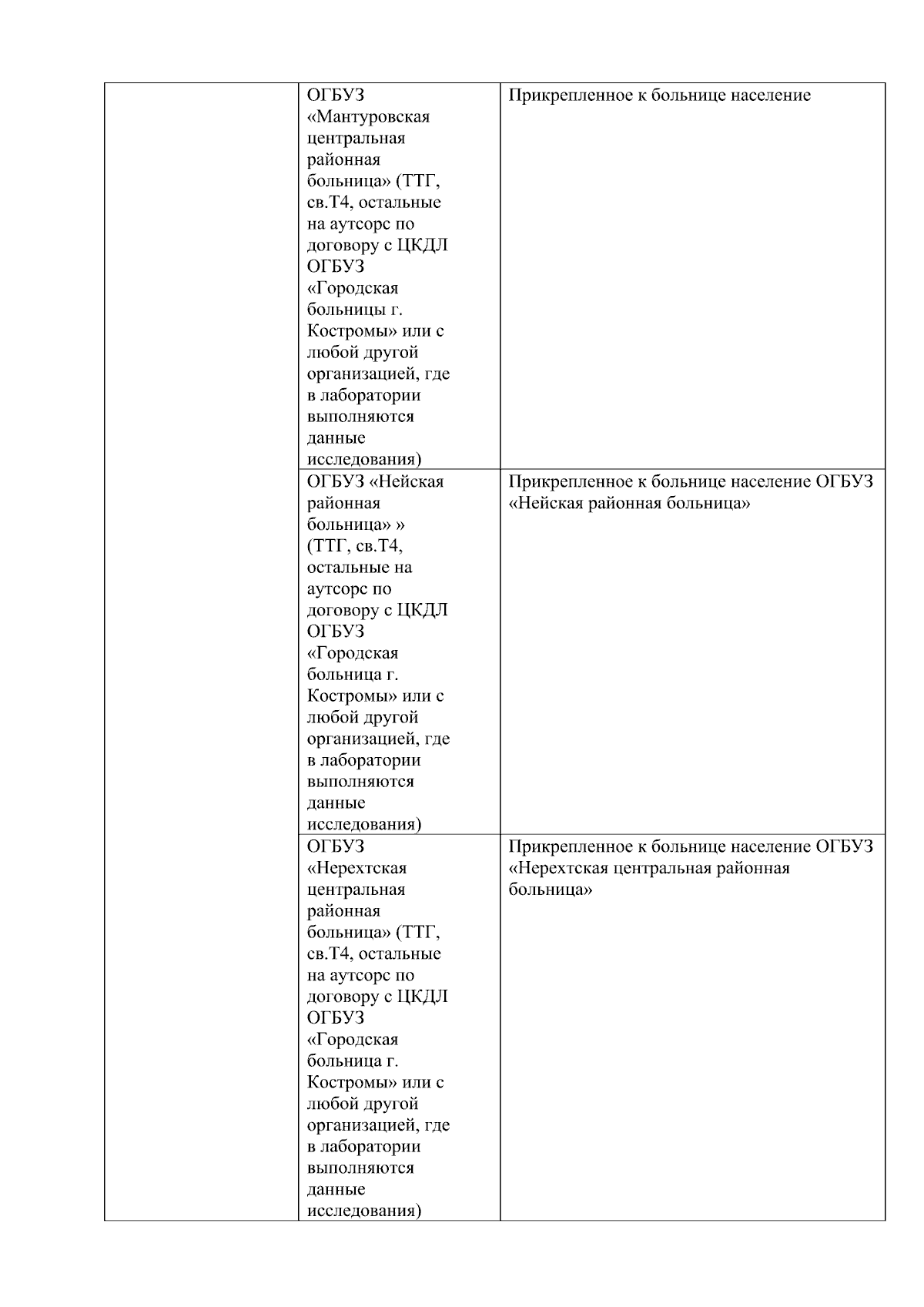
"О единой маршрутизации пациентов Костромской области с заболеваниями эндокринной системы, в том числе с сахарным диабетом, включая все этапы наблюдения за пациентом от фельдшерско-акушерского пункта (поликлиники) до федерального учреждения, оказывающего помощь пациентам с эндокринными заболеваниями"
(Зарегистрирован 24.12.2025 № 832)
Номер опубликования: 4401202512250002
Дата опубликования: 25.12.2025
Страница №12 из 99:
Увеличить