Официальное опубликование правовых актов
ОФИЦИАЛЬНОЕ ОПУБЛИКОВАНИЕ
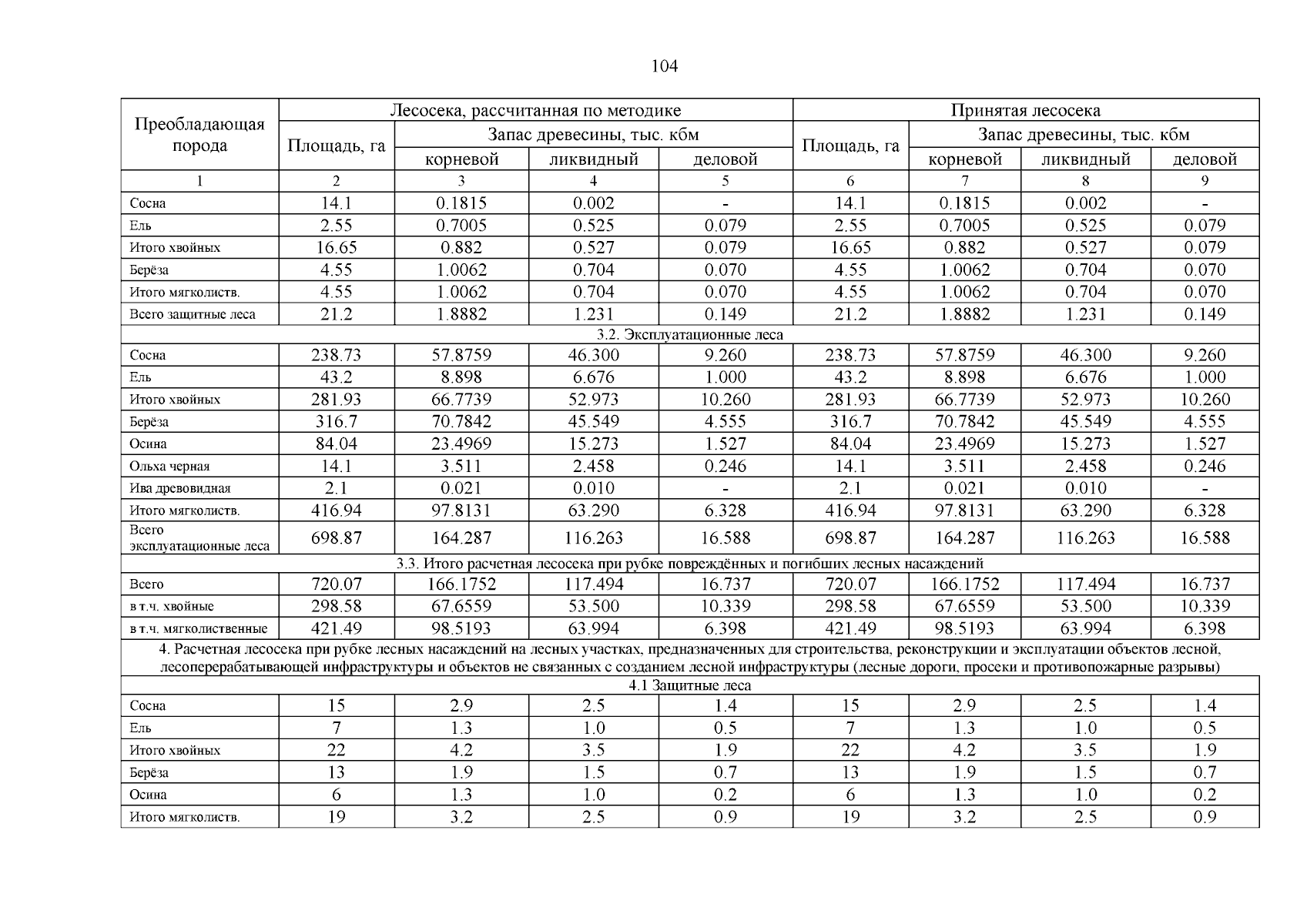
Постановление Департамента лесного хозяйства Костромской области от 30.10.2025 № 8
"Об утверждении лесохозяйственного регламента Макарьевского лесничества"
(Зарегистрирован 01.11.2025 № 529)
Номер опубликования: 4401202511010009
Дата опубликования: 01.11.2025
Страница №105 из 350:
Увеличить