Официальное опубликование правовых актов
ОФИЦИАЛЬНОЕ ОПУБЛИКОВАНИЕ
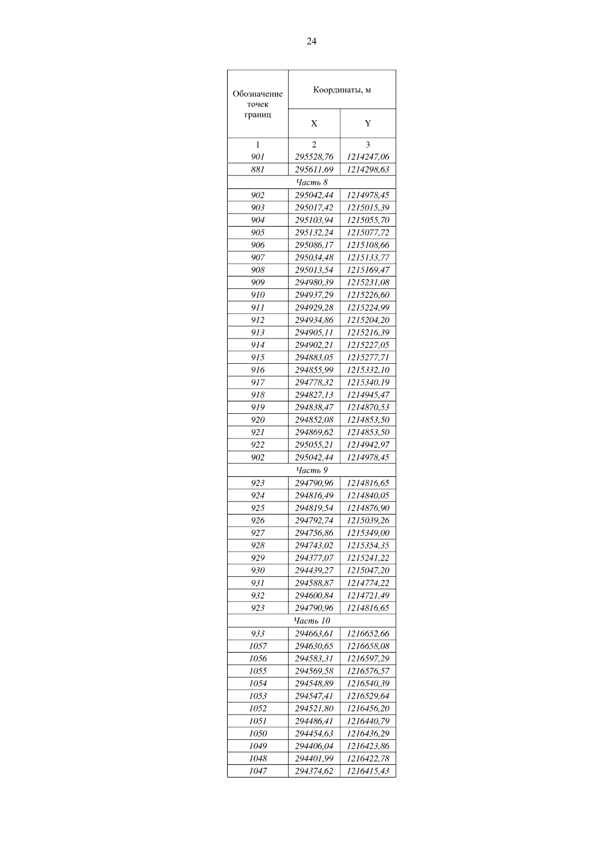
Приказ Департамента природных ресурсов и охраны окружающей среды Костромской области от 30.06.2025 № 122
"О внесении изменений в границы лесопаркового зеленого пояса города Костромы"
(Зарегистрирован 01.07.2025 № 288)
Номер опубликования: 4401202507010004
Дата опубликования: 01.07.2025
Страница №26 из 41:
Увеличить