Официальное опубликование правовых актов
ОФИЦИАЛЬНОЕ ОПУБЛИКОВАНИЕ
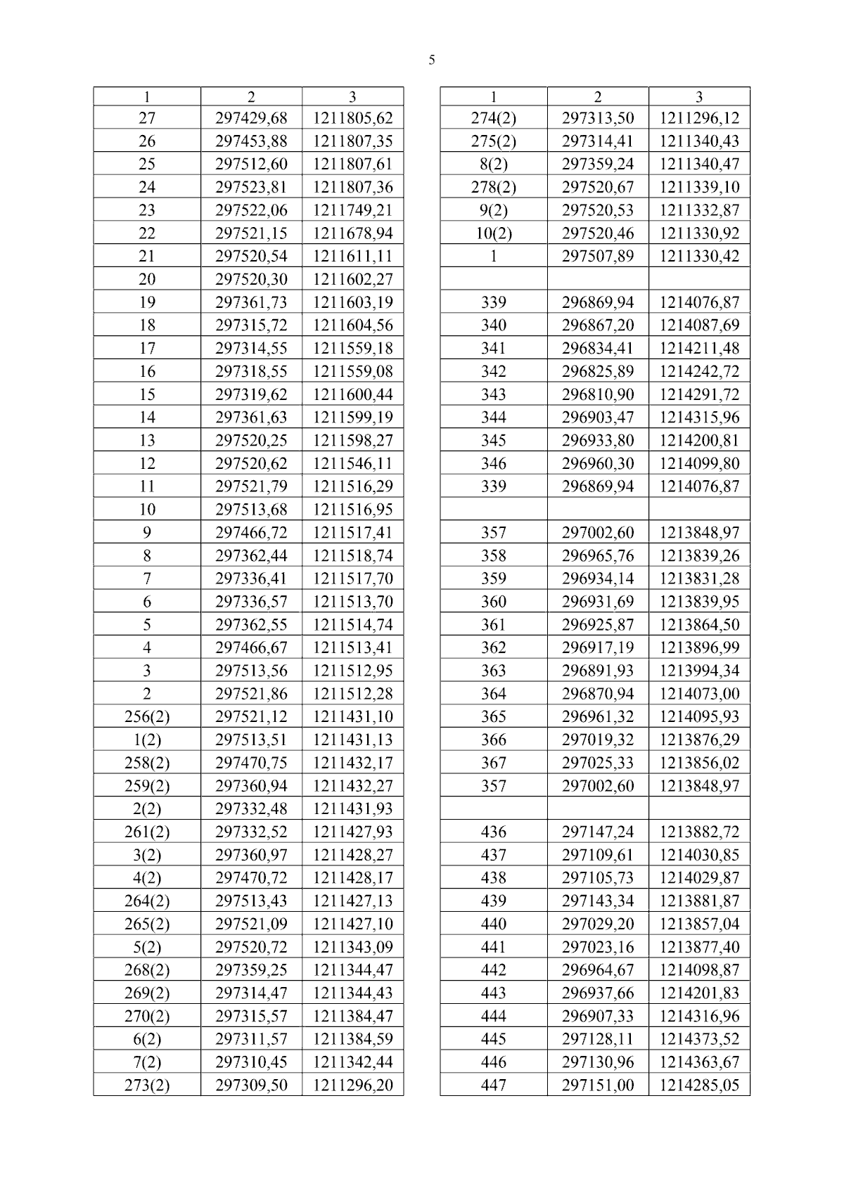
Приказ Департамента имущественных и земельных отношений Костромской области от 20.02.2025 № 27-од
"Об изменении охранной зоны газопровода газораспределительной сети"
(Зарегистрирован 21.02.2025 № 93)
Номер опубликования: 4401202502210004
Дата опубликования: 21.02.2025
Страница №7 из 17:
Увеличить