Официальное опубликование правовых актов
ОФИЦИАЛЬНОЕ ОПУБЛИКОВАНИЕ
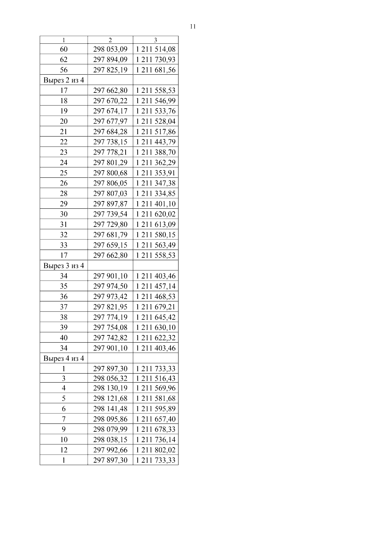
Приказ Департамента имущественных и земельных отношений Костромской области от 06.02.2025 № 20-од
"Об установлении охранных зон газопроводов газораспределительных сетей"
(Зарегистрирован 10.02.2025 № 72)
Номер опубликования: 4401202502100001
Дата опубликования: 10.02.2025
Страница №13 из 21:
Увеличить