Официальное опубликование правовых актов
ОФИЦИАЛЬНОЕ ОПУБЛИКОВАНИЕ
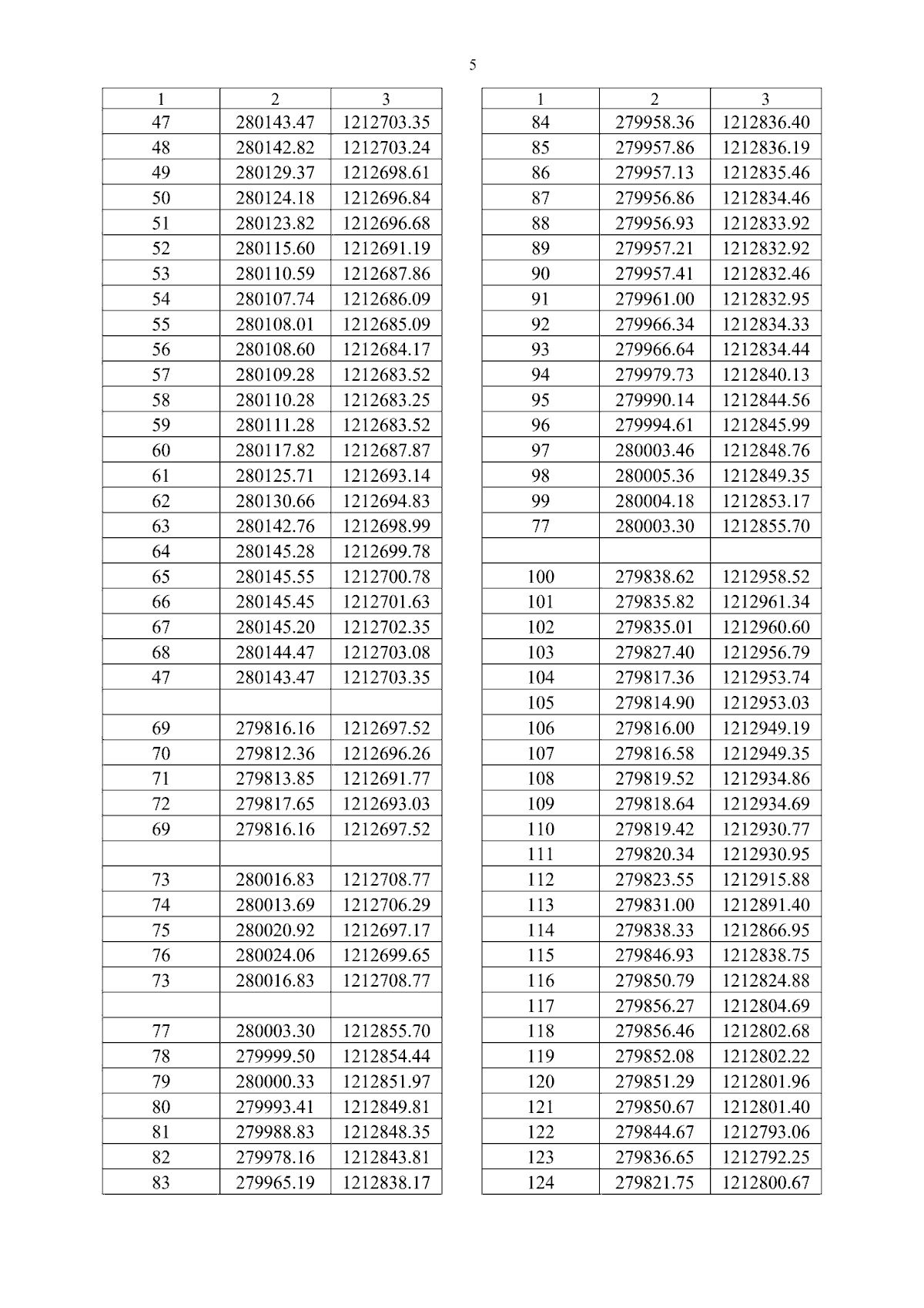
Приказ Департамента имущественных и земельных отношений Костромской области от 25.10.2024 № 143-од
"Об установлении охранных зон газопроводов газораспределительных сетей"
(Зарегистрирован 01.11.2024 № 599)
Номер опубликования: 4401202411050029
Дата опубликования: 05.11.2024
Страница №7 из 54:
Увеличить