Официальное опубликование правовых актов
ОФИЦИАЛЬНОЕ ОПУБЛИКОВАНИЕ
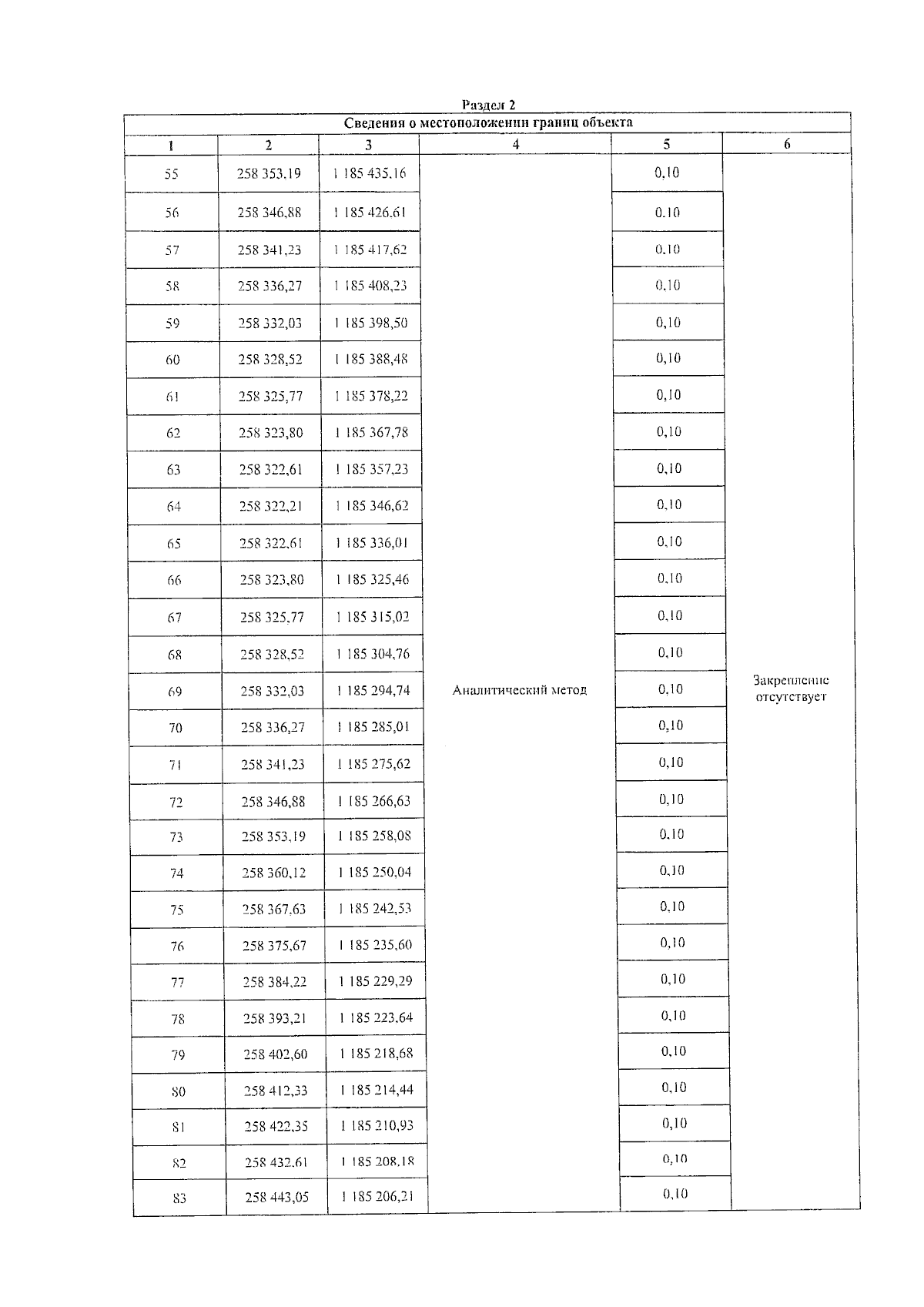
Приказ Департамента природных ресурсов и охраны окружающей среды Костромской области от 30.09.2024 № 240
"Об установлении зон санитарной охраны"
(Зарегистрирован 01.10.2024 № 498)
Номер опубликования: 4401202410020002
Дата опубликования: 02.10.2024
Страница №18 из 21:
Увеличить