Официальное опубликование правовых актов
ОФИЦИАЛЬНОЕ ОПУБЛИКОВАНИЕ
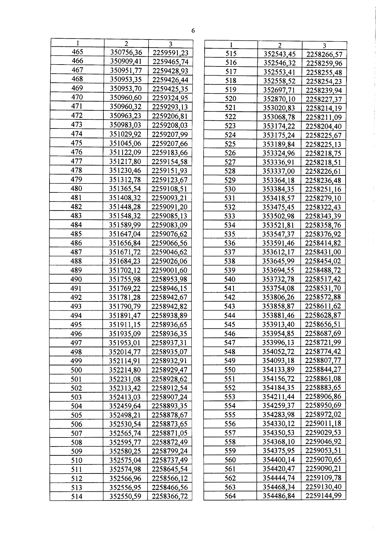
Приказ Департамента имущественных и земельных отношений Костромской области от 24.07.2024 № 107-од
"Об установлении охранной зоны газопровода газораспределительной сети"
(Зарегистрирован 31.07.2024 № 366)
Номер опубликования: 4401202408020011
Дата опубликования: 02.08.2024
Страница №8 из 12:
Увеличить