Официальное опубликование правовых актов
ОФИЦИАЛЬНОЕ ОПУБЛИКОВАНИЕ
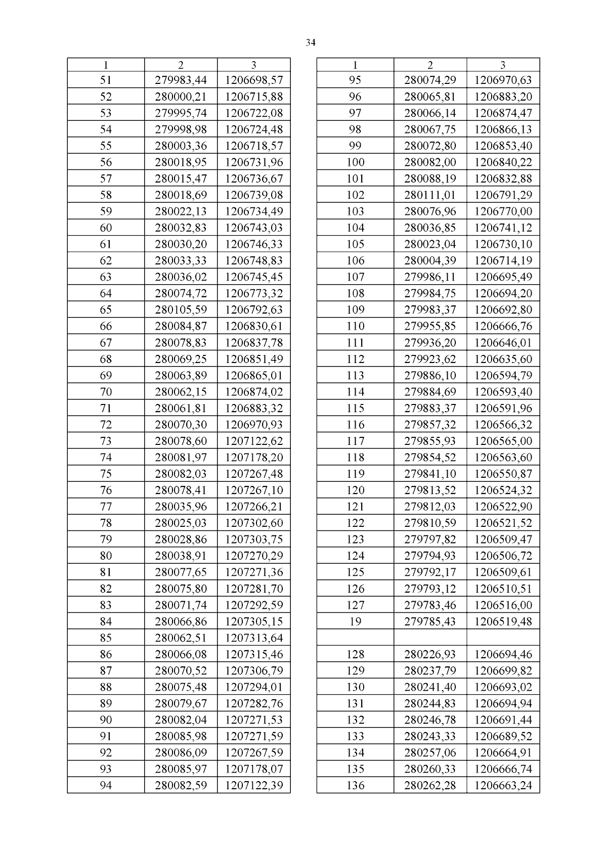
Приказ Департамента имущественных и земельных отношений Костромской области от 12.02.2024 № 27-од
"Об установлении охранных зон газопроводов газораспределительных сетей"
(Зарегистрирован 13.02.2024 № 72)
Номер опубликования: 4401202402140002
Дата опубликования: 14.02.2024
Страница №36 из 40:
Увеличить