Официальное опубликование правовых актов
ОФИЦИАЛЬНОЕ ОПУБЛИКОВАНИЕ
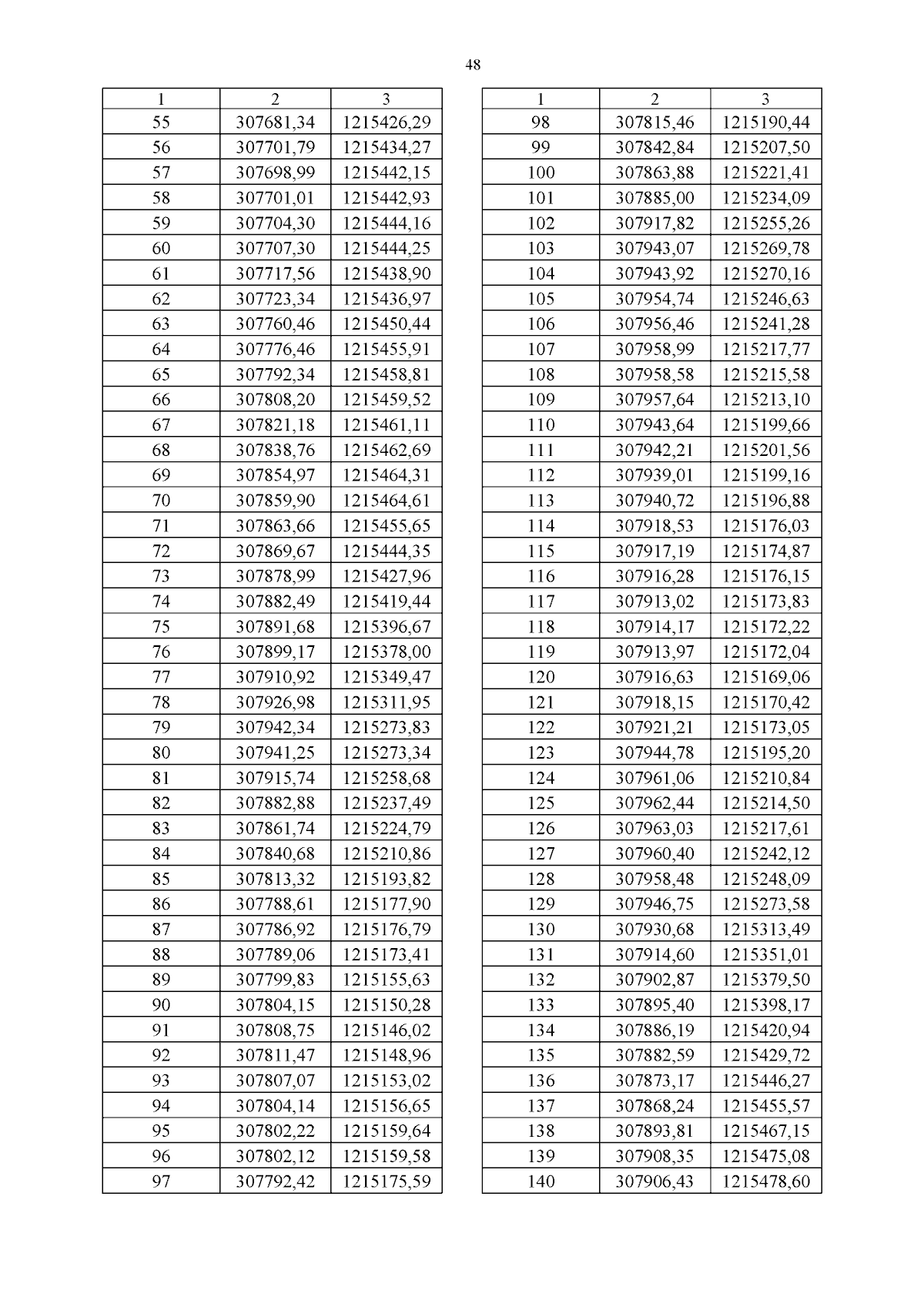
Приказ Департамента имущественных и земельных отношений Костромской области от 30.01.2024 № 18-од
"Об установлении охранных зон газопроводов газораспределительных сетей"
(Зарегистрирован 01.02.2024 № 54)
Номер опубликования: 4401202402020004
Дата опубликования: 02.02.2024
Страница №50 из 58:
Увеличить