Официальное опубликование правовых актов
ОФИЦИАЛЬНОЕ ОПУБЛИКОВАНИЕ
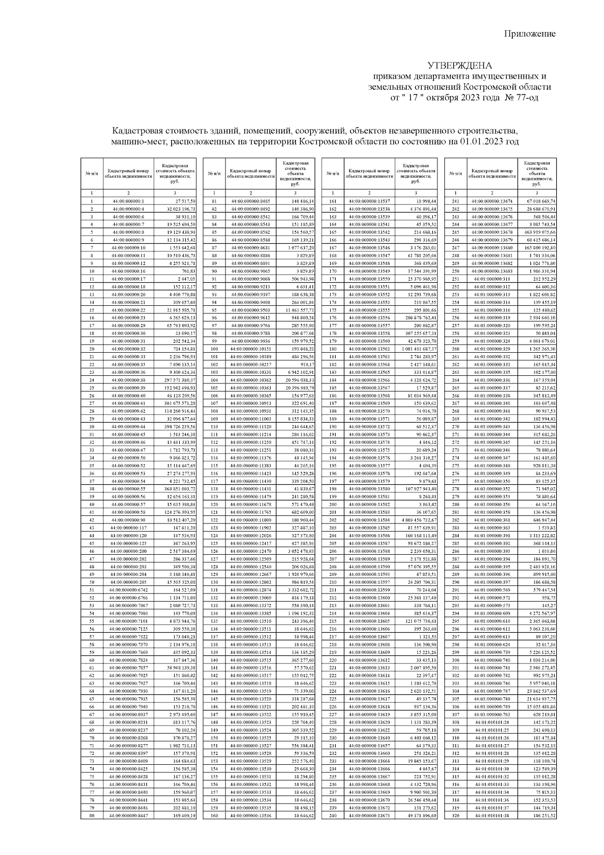
Приказ Департамента имущественных и земельных отношений Костромской области от 17.10.2023 № 77-од
"Об утверждении результатов определения кадастровой стоимости зданий, помещений, сооружений, объектов незавершенного строительства, машино-мест"
(Зарегистрирован 18.10.2023 № 378)
Номер опубликования: 4401202310180001
Дата опубликования: 18.10.2023
Страница №3 из 1461:
Увеличить