Официальное опубликование правовых актов
ОФИЦИАЛЬНОЕ ОПУБЛИКОВАНИЕ
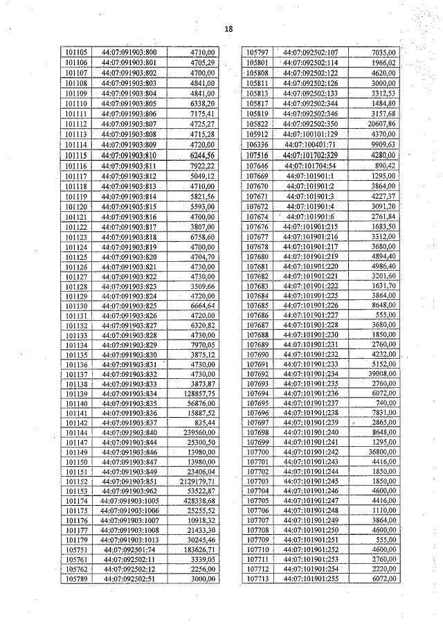
Приказ Департамента имущественных и земельных отношений Костромской области от 17.03.2023 № 10-од
"О внесении изменений в приказ департамента имущественных и земельных отношений Костромской области от 12.10.2022 № 107-од"
(Зарегистрирован 22.03.2023 № 74)
Номер опубликования: 4401202304030001
Дата опубликования: 03.04.2023
Страница №20 из 45:
Увеличить