Официальное опубликование правовых актов
ОФИЦИАЛЬНОЕ ОПУБЛИКОВАНИЕ
Приказ Инспекции по охране объектов культурного наследия Костромской области от 04.10.2021 № 140
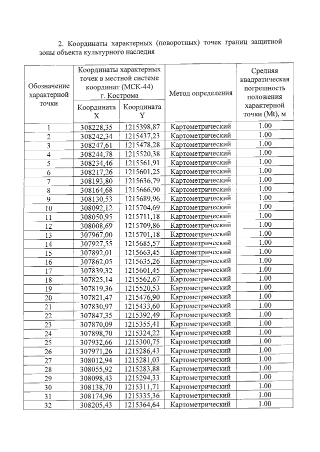
"Об утверждении графического описания местоположения границ защитной зоны объекта культурного наследия федерального значения "Церковь Рождества Христова", 1763 г. (Костромская область, Костромской район, с. Сущево) с перечнем координат характерных точек этих границ в системе координат, установленной для ведения Единого государственного реестра недвижимости, режима использования земель в границах защитной зоны объектов культурного наследия"
Номер опубликования: 4401202110040007
Дата опубликования: 04.10.2021
Страница №4 из 5:
Увеличить