Приказ Инспекции по охране объектов культурного наследия Костромской области от 28.05.2021 № 61
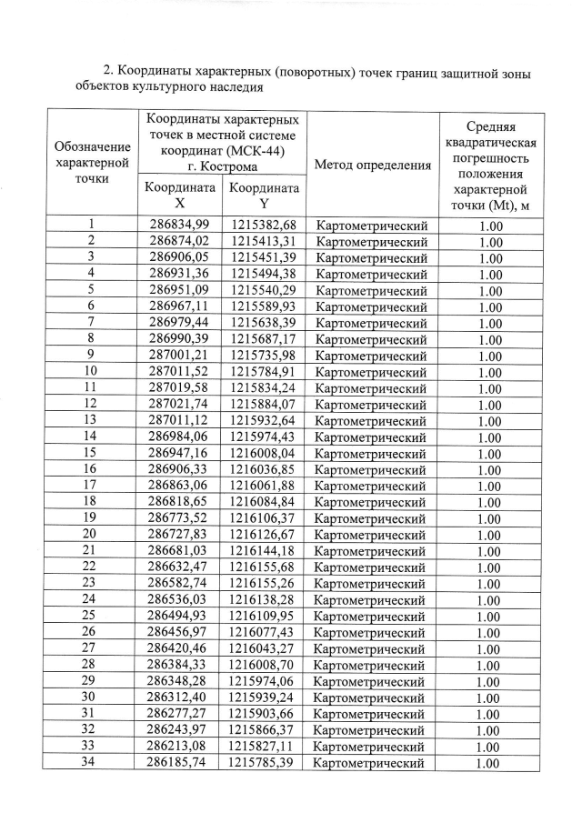
"Об утверждении графического описания местоположения границ защитной зоны объектов культурного наследия регионального значения "Усадьба "Васильевское" Карцевых (Чумаковых), ХIХ в.: Главный дом, 1820-е гг.; Флигель (северный), 1820-е гг.; Флигель (южный), 1820-е гг.; Парк, 2-я пол ХIХ в." (Костромская область, г. Кострома, пос. Васильевское) с перечнем координат характерных точек этих границ в системе координат, установленной для ведения Единого государственного реестра недвижимости, режима использования земель в границах защитной зоны объектов культурного наследия"
"Об утверждении графического описания местоположения границ защитной зоны объектов культурного наследия регионального значения "Усадьба "Васильевское" Карцевых (Чумаковых), ХIХ в.: Главный дом, 1820-е гг.; Флигель (северный), 1820-е гг.; Флигель (южный), 1820-е гг.; Парк, 2-я пол ХIХ в." (Костромская область, г. Кострома, пос. Васильевское) с перечнем координат характерных точек этих границ в системе координат, установленной для ведения Единого государственного реестра недвижимости, режима использования земель в границах защитной зоны объектов культурного наследия"
Номер опубликования: 4401202105310001
Дата опубликования:
31.05.2021
