Официальное опубликование правовых актов
ОФИЦИАЛЬНОЕ ОПУБЛИКОВАНИЕ
Приказ Инспекции по охране объектов культурного наследия Костромской области от 14.05.2021 № 44
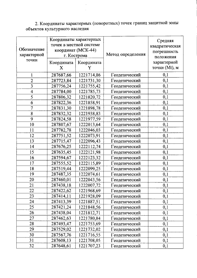
"Об утверждении графического описания местоположения границ защитной зоны объекта культурного наследия регионального значения "Дом, в котором жил зоотехник-селекционер Штейман С.И."‚ нач. 1950-х гг.; 1956-1965 гг. (Костромская область, Костромской район, пос. Караваево, ул. Штеймана, 3) с перечнем координат характерных точек этих границ в системе координат, установленной для ведения Единого государственного реестра недвижимости, режима использования земель в границах защитной зоны объектов культурного наследия"
Номер опубликования: 4401202105180003
Дата опубликования: 18.05.2021
Страница №4 из 5:
Увеличить