Официальное опубликование правовых актов
ОФИЦИАЛЬНОЕ ОПУБЛИКОВАНИЕ
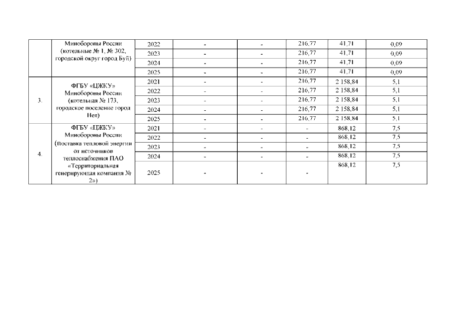
Постановление Департамента государственного регулирования цен и тарифов Костромской области от 18.12.2020 № 20/440
"Об установлении тарифов на тепловую энергию, поставляемую ФГБУ "ЦЖКУ" Минобороны России на территории Костромской области на 2021-2025 годы"
Номер опубликования: 4401202012220062
Дата опубликования: 22.12.2020
Страница №9 из 9:
Увеличить