Официальное опубликование правовых актов
ОФИЦИАЛЬНОЕ ОПУБЛИКОВАНИЕ
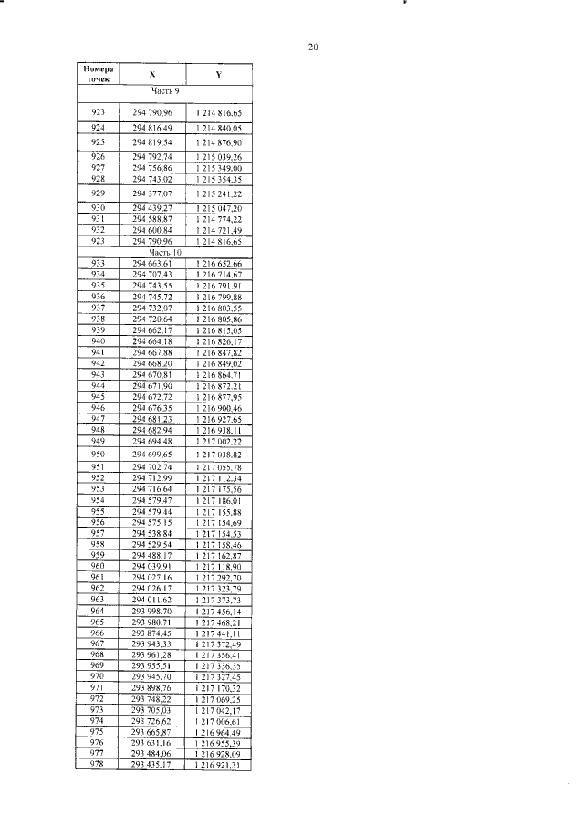
Приказ Департамента природных ресурсов и охраны окружающей среды Костромской области от 01.10.2020 № 307
"Об установлении границ лесопаркового зеленого пояса города Костромы"
Номер опубликования: 4401202010020002
Дата опубликования: 02.10.2020
Страница №21 из 33:
Увеличить