Официальное опубликование правовых актов
ОФИЦИАЛЬНОЕ ОПУБЛИКОВАНИЕ
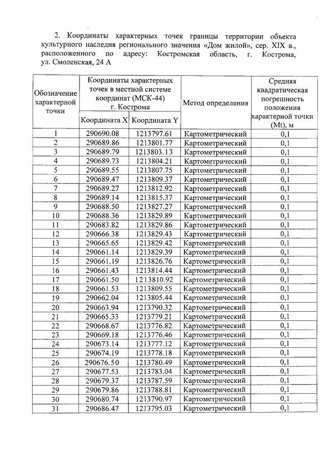
Приказ Инспекции по охране объектов культурного наследия Костромской области от 21.08.2020 № 131
"Об установлении границы и правового режима использования территории объекта культурного наследия регионального значения "Дом жилой", сер. ХIХ в., расположенного по адресу: Костромская область, г. Кострома, ул. Смоленская, 24 А"
Номер опубликования: 4401202008240005
Дата опубликования: 24.08.2020
Страница №4 из 7:
Увеличить