Приказ Инспекции по охране объектов культурного наследия Костромской области от 08.05.2020 № 63
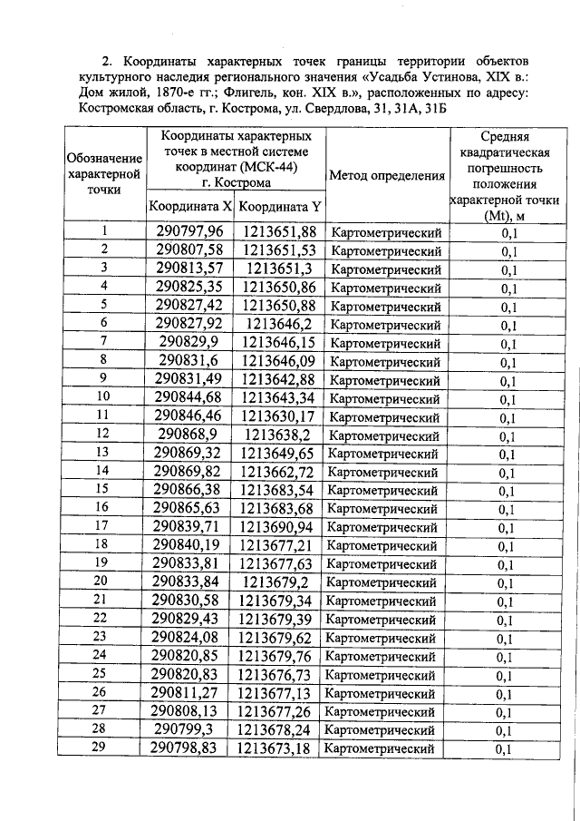
"Об установлении границы и правового режима использования территории объектов культурного наследия регионального значения "Усадьба Устинова, XIX в.: Дом жилой, 1870-е гг.; Флигель, кон. XIX в.", расположенных по адресу: Костромская область, г. Кострома, ул. Свердлова, 31, 31А, 31Б"
"Об установлении границы и правового режима использования территории объектов культурного наследия регионального значения "Усадьба Устинова, XIX в.: Дом жилой, 1870-е гг.; Флигель, кон. XIX в.", расположенных по адресу: Костромская область, г. Кострома, ул. Свердлова, 31, 31А, 31Б"
Номер опубликования: 4401202005120004
Дата опубликования:
12.05.2020
