Официальное опубликование правовых актов
ОФИЦИАЛЬНОЕ ОПУБЛИКОВАНИЕ
Приказ Инспекции по охране объектов культурного наследия Костромской области от 30.08.2019 № 95
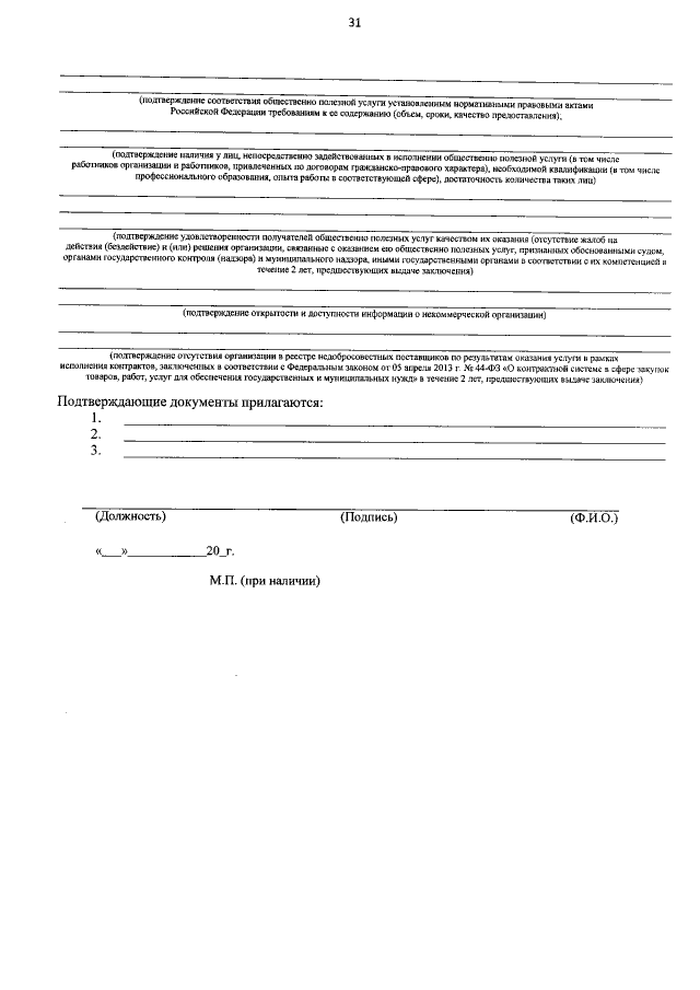
"Об утверждении административного регламента предоставления инспекцией по охране объектов культурного наследия Костромской области государственной услуги по оценке качества оказания социально ориентированной некоммерческой организацией общественно полезной услуги по содействию в охране и реставрации объектов культурного наследия (памятников истории и культуры) народов Российской Федерации (памятников, ансамблей, достопримечательных мест, мест захоронений)"
Номер опубликования: 4401201909020002
Дата опубликования: 02.09.2019
Страница №33 из 34:
Увеличить