Приказ Инспекции по охране объектов культурного наследия Костромской области от 14.01.2019 № 2
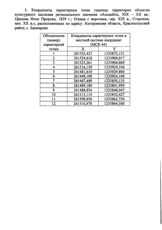
"Об установлении границы и правового режима использования территории объектов культурного наследия регионального значения "Ансамбль, ХIХ — ХХ вв.: Церковь Ильи Пророка, 1829 г.; Ограда с воротами, сер. ХIХ в.; Сторожка, нач. ХХ в.", расположенных по адресу: Костромская область, Красносельский район, с. Здемирово"
"Об установлении границы и правового режима использования территории объектов культурного наследия регионального значения "Ансамбль, ХIХ — ХХ вв.: Церковь Ильи Пророка, 1829 г.; Ограда с воротами, сер. ХIХ в.; Сторожка, нач. ХХ в.", расположенных по адресу: Костромская область, Красносельский район, с. Здемирово"
Номер опубликования: 4401201901160001
Дата опубликования:
16.01.2019
