Официальное опубликование правовых актов
ОФИЦИАЛЬНОЕ ОПУБЛИКОВАНИЕ
Постановление администрации Костромской области от 29.12.2025 № 555-а
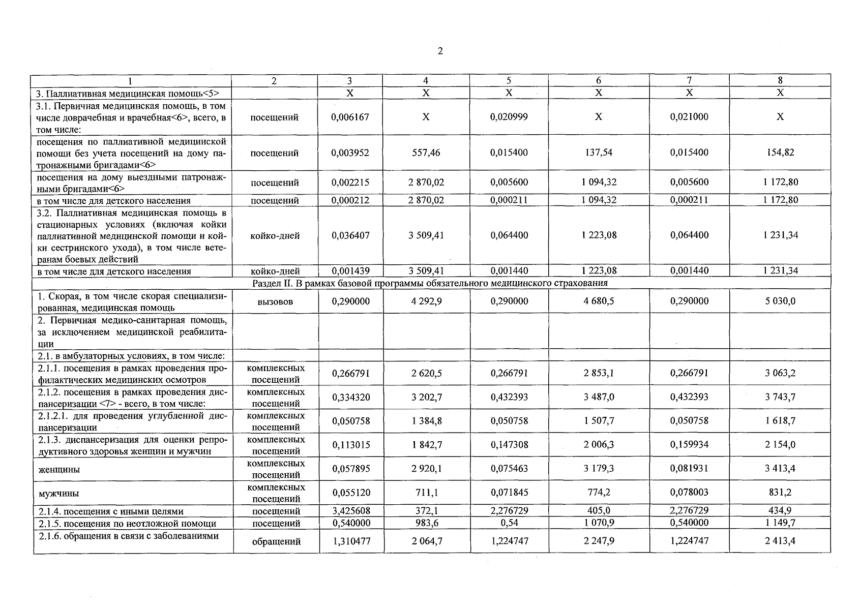
"О финансовом обеспечении программы государственных гарантий бесплатного оказания гражданам медицинской помощи в Костромской области на 2025 год и на плановый период 2026 и 2027 годов"
Номер опубликования: 4400202512290007
Дата опубликования: 29.12.2025
Страница №4 из 14:
Увеличить