Официальное опубликование правовых актов
ОФИЦИАЛЬНОЕ ОПУБЛИКОВАНИЕ
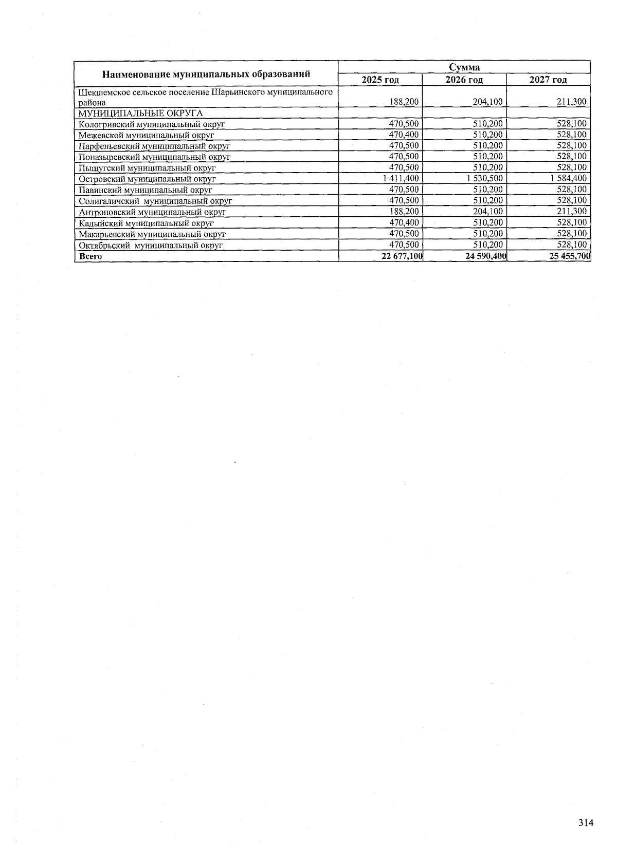
Закон Костромской области от 24.10.2025 № 2-8-ЗКО
"О внесении изменений в Закон Костромской области "Об областном бюджете на 2025 год и на плановый период 2026 и 2027 годов"
Номер опубликования: 4400202510270015
Дата опубликования: 27.10.2025
Страница №314 из 324:
Увеличить