Официальное опубликование правовых актов
ОФИЦИАЛЬНОЕ ОПУБЛИКОВАНИЕ
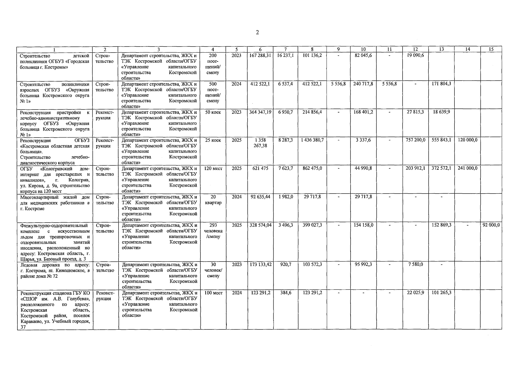
Постановление администрации Костромской области от 26.05.2025 № 216-а
"Об уточнении бюджетных ассигнований на объекты капитального строительства государственной собственности Костромской области"
Номер опубликования: 4400202505270014
Дата опубликования: 27.05.2025
Страница №3 из 4:
Увеличить