Официальное опубликование правовых актов
ОФИЦИАЛЬНОЕ ОПУБЛИКОВАНИЕ
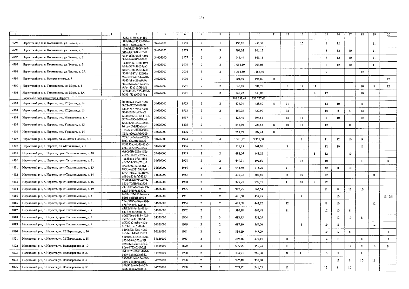
Постановление администрации Костромской области от 26.05.2025 № 208-а
"О внесении изменения в региональную программу капитального ремонта общего имущества в многоквартирных домах"
Номер опубликования: 4400202505270008
Дата опубликования: 27.05.2025
Страница №150 из 171:
Увеличить