Официальное опубликование правовых актов
ОФИЦИАЛЬНОЕ ОПУБЛИКОВАНИЕ
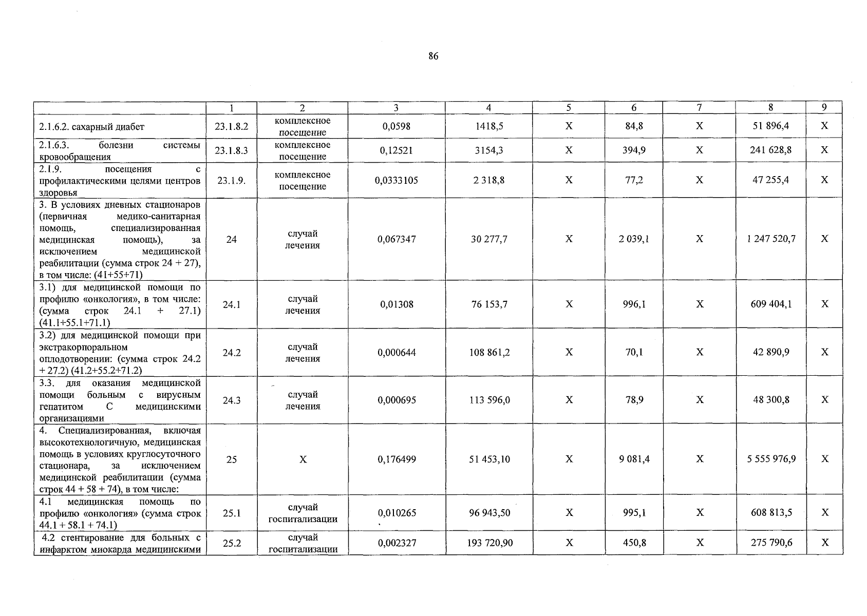
Постановление администрации Костромской области от 17.03.2025 № 97-а
"О внесении изменения в программу государственных гарантий бесплатного оказания гражданам медицинской помощи в Костромской области на 2025 год и на плановый период 2026 и 2027 годов"
Номер опубликования: 4400202503170001
Дата опубликования: 17.03.2025
Страница №89 из 154:
Увеличить