Официальное опубликование правовых актов
ОФИЦИАЛЬНОЕ ОПУБЛИКОВАНИЕ
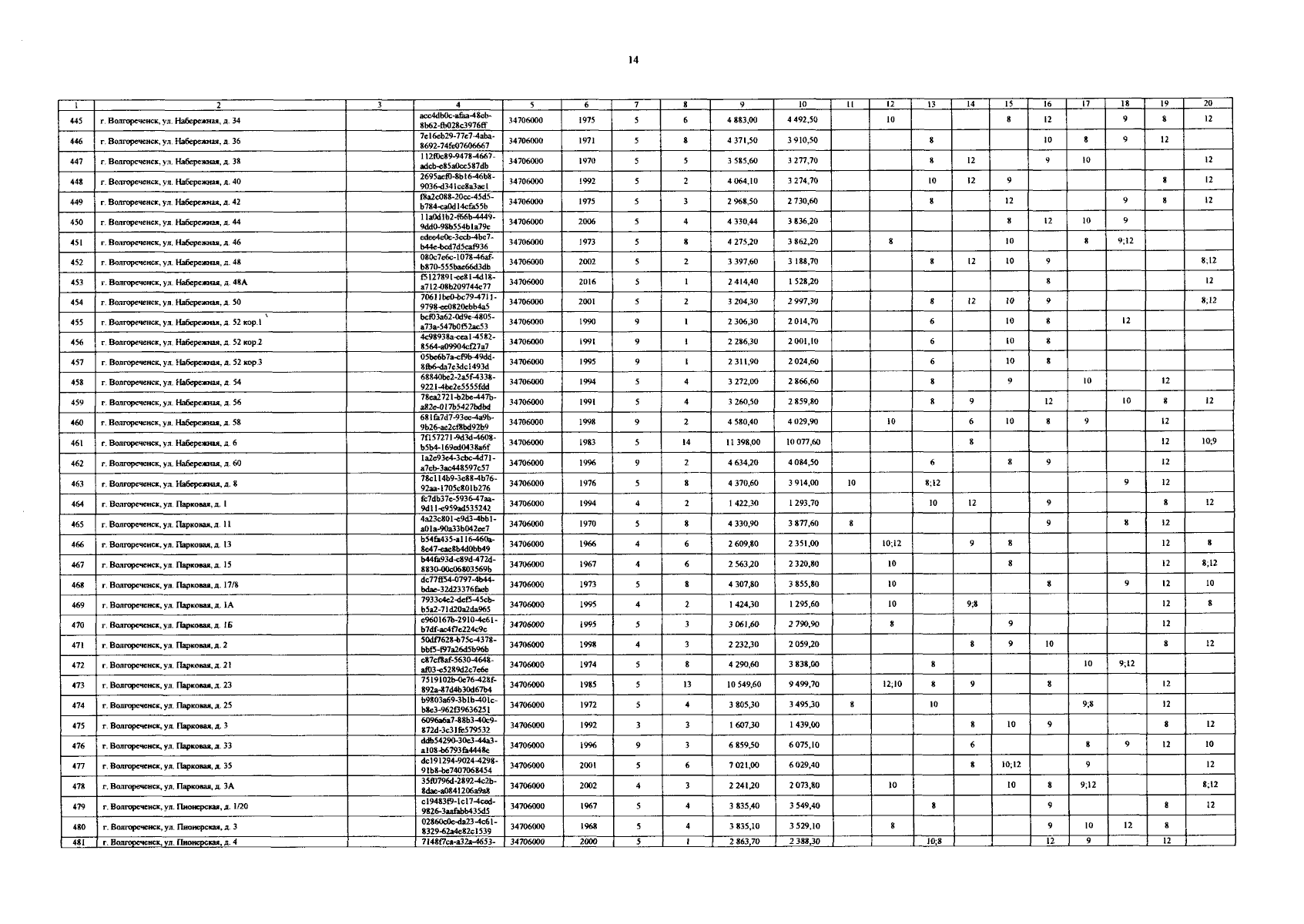
Постановление администрации Костромской области от 18.11.2024 № 402-а
"О внесении изменений в региональную программу капитального ремонта общего имущества в многоквартирных домах"
Номер опубликования: 4400202411180011
Дата опубликования: 18.11.2024
Страница №17 из 158:
Увеличить