Официальное опубликование правовых актов
ОФИЦИАЛЬНОЕ ОПУБЛИКОВАНИЕ
Постановление администрации Костромской области от 05.02.2024 № 25-а
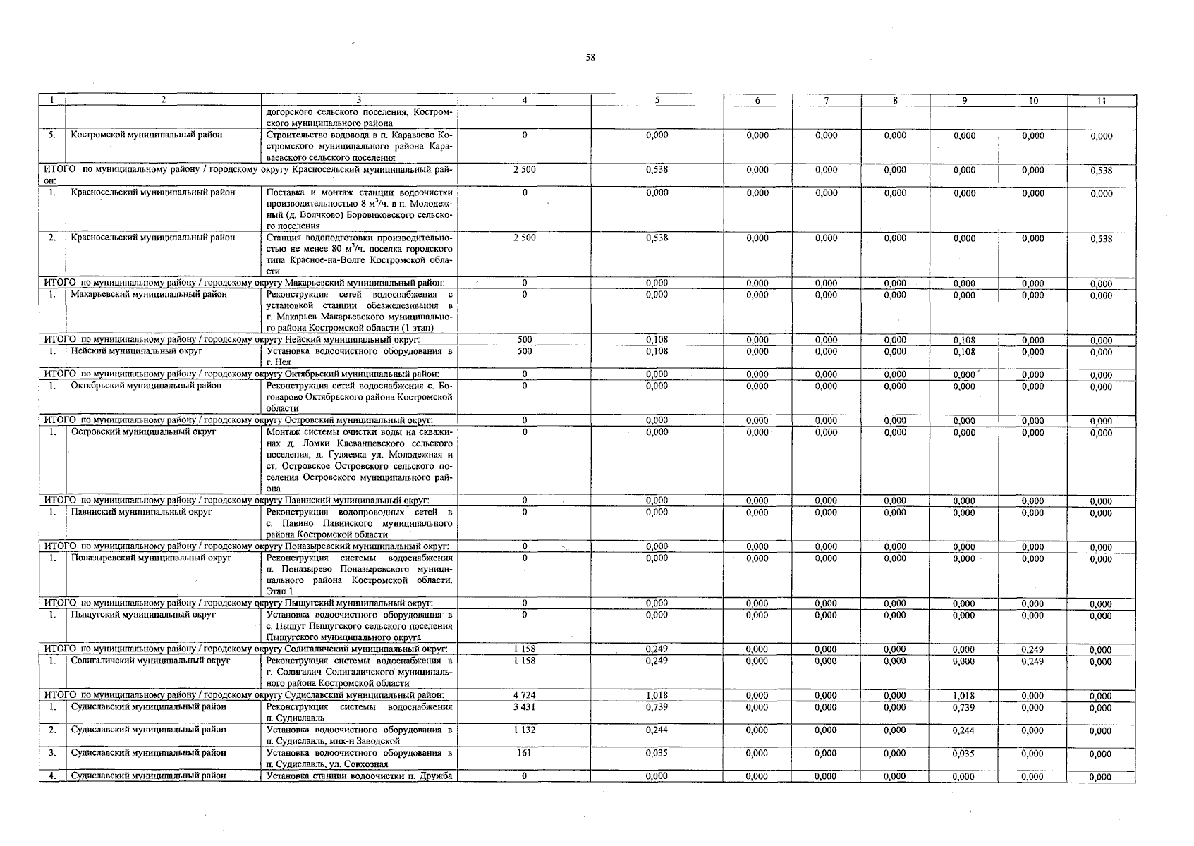
"О внесении изменений в государственную программу Костромской области "Развитие жилищно-коммунального хозяйства и обеспечение качественными жилищно-коммунальными услугами граждан в Костромской области"
Номер опубликования: 4400202402060006
Дата опубликования: 06.02.2024
Страница №62 из 71:
Увеличить