Официальное опубликование правовых актов
ОФИЦИАЛЬНОЕ ОПУБЛИКОВАНИЕ
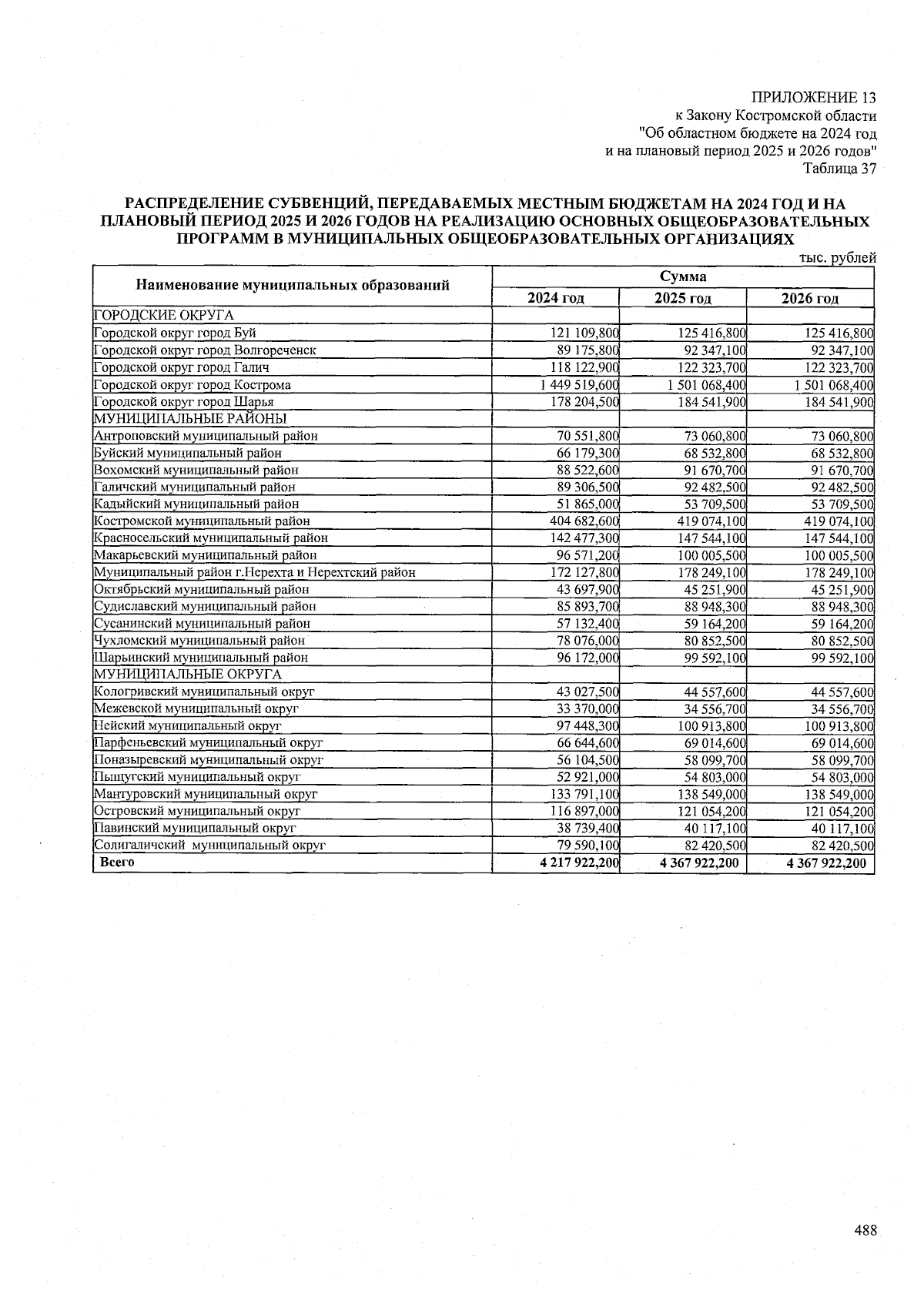
Закон Костромской области от 15.12.2023 № 428-7-ЗКО
"Об областном бюджете на 2024 год и на плановый период 2025 и 2026 годов"
Номер опубликования: 4400202312180002
Дата опубликования: 18.12.2023
Страница №488 из 514:
Увеличить