Официальное опубликование правовых актов
ОФИЦИАЛЬНОЕ ОПУБЛИКОВАНИЕ
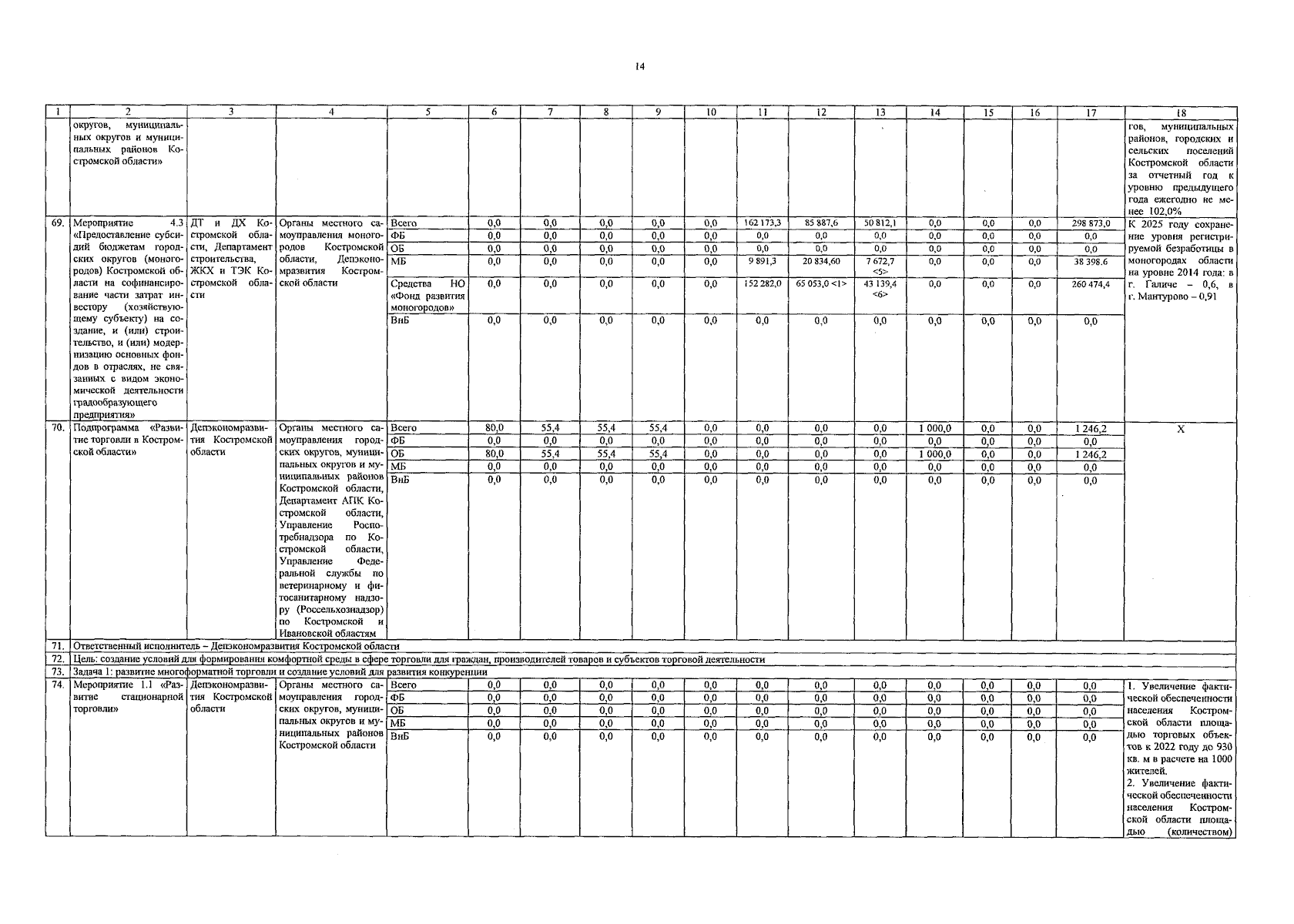
Постановление администрации Костромской области от 27.11.2023 № 528-а
"О внесении изменений в государственную программу Костромской области "Экономическое развитие Костромской области"
Номер опубликования: 4400202311280001
Дата опубликования: 28.11.2023
Страница №29 из 69:
Увеличить