Официальное опубликование правовых актов
ОФИЦИАЛЬНОЕ ОПУБЛИКОВАНИЕ
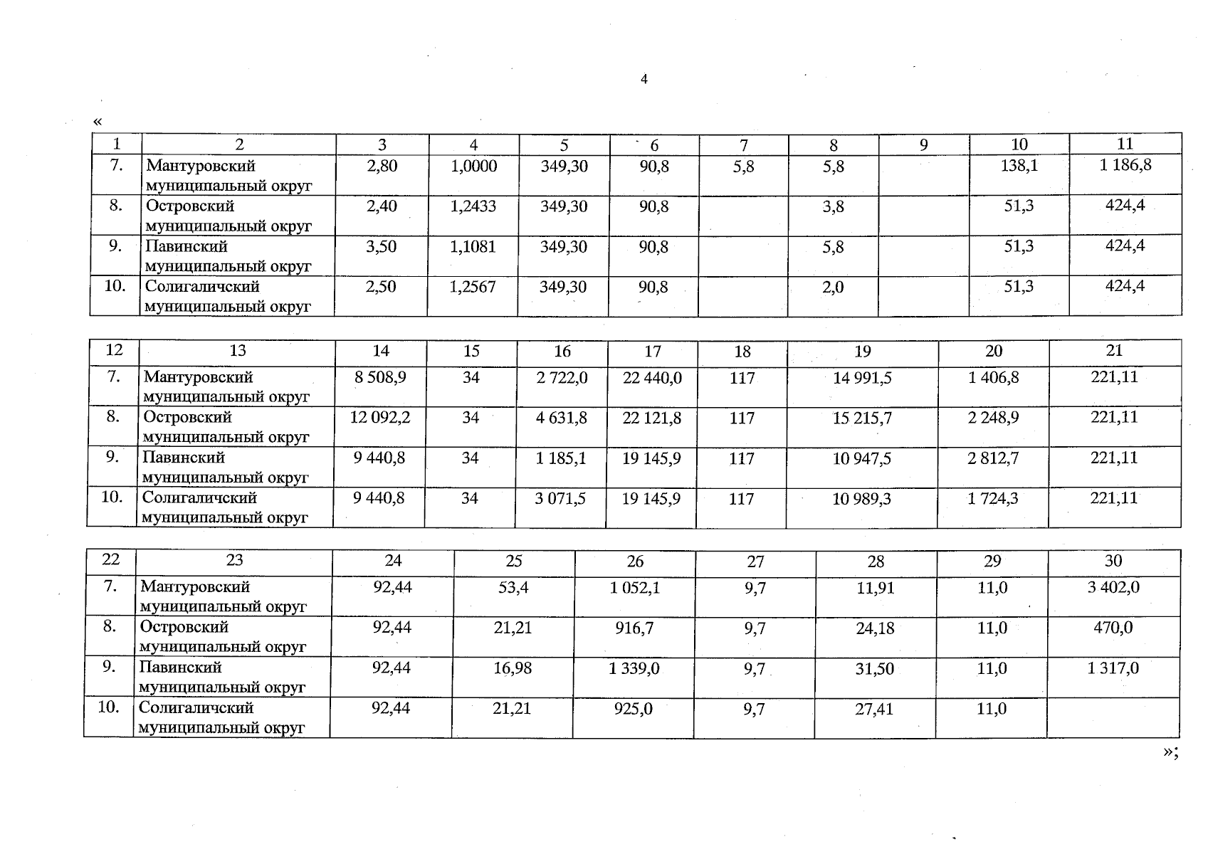
Закон Костромской области от 19.09.2023 № 395-7-ЗКО
"О внесении изменений в Закон Костромской области "О межбюджетных отношениях в Костромской области"
Номер опубликования: 4400202309200010
Дата опубликования: 20.09.2023
Страница №4 из 6:
Увеличить