Официальное опубликование правовых актов
ОФИЦИАЛЬНОЕ ОПУБЛИКОВАНИЕ
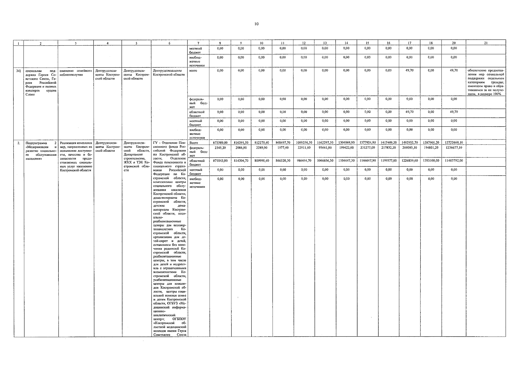
Постановление администрации Костромской области от 11.09.2023 № 410-а
"О внесении изменений в государственную программу Костромской области "Социальная поддержка граждан Костромской области"
Номер опубликования: 4400202309120005
Дата опубликования: 12.09.2023
Страница №14 из 61:
Увеличить