Официальное опубликование правовых актов
ОФИЦИАЛЬНОЕ ОПУБЛИКОВАНИЕ
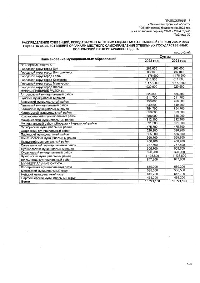
Закон Костромской области от 21.12.2021 № 166-7-ЗКО
"Об областном бюджете на 2022 год и на плановый период 2023 и 2024 годов"
Номер опубликования: 4400202112220009
Дата опубликования: 22.12.2021
Страница №590 из 621:
Увеличить