Официальное опубликование правовых актов
ОФИЦИАЛЬНОЕ ОПУБЛИКОВАНИЕ
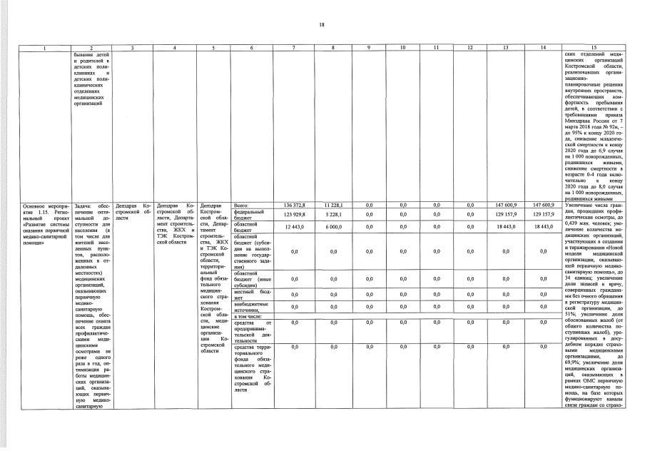
Постановление администрации Костромской области от 29.11.2021 № 534-а
"О внесении изменений в постановление администрации Костромской области от 30.04.2013 № 195-а"
Номер опубликования: 4400202111300011
Дата опубликования: 30.11.2021
Страница №40 из 167:
Увеличить